宗教考 エホバの証人
序
五月三十一日、今朝がた”エホバの証人”が自宅へ布教に訪れた。私は伝統的な日本人宗教観にみられるような、米一粒にも八百万の神々や物に魂が宿るから食べ残しは罰当たりであり、一つ一つ大事にしましょうといったアニミズムであり、神道のように多神教であるから他の信仰をもつ宗教家を忌避する理由がない。
キリスト教との縁を振り返ってみると、高校時代からの友人でありフォークソング部の音楽仲間がキリスト教プロテスタント派一家で、昔はよく自宅へお邪魔して何時間もあれこれ語ったり晩御飯をご一緒させていただいたり、彼らの通う協会に数度訪れたことがあった。私に向けられた牧師の眼差しや語り口の心底には、”私”にたいする親であり、近所の老人であり、学校の先生といった、師弟関係にみられるような父と子の上下の愛が感じ取られる。
エホバとは全能なる神、キリスト教では”ヤハウェ”の別名称を指している。”エホバの証人が自宅へ布教に訪れた”の文字を単純に解すると、”神の証人”が伝道者として我が家へ布教に訪れたとなる。聖書に載る聖人たち伝道者の話と同じ行為を今でもしているのだからえらいものだ。”エホバの証人”は組織名であり神の証人、”神は在る”の証人者たちと言い換えることが可能だろう。
wikipediaによるとキリスト教界においては比較的不人気なようで、今は異なる見解が示されているが過去において、輸血拒否事例や大学といった高等教育は履修してはならないといったような事例があったことに由る。
六月八日、先日の伝道者来訪時、六月八日夕刻に集会があるのでよければいらしてくださいとのことで、今朝がた再訪があったので参加を表明し教会へ訪れた。聴講するに、やはりキリスト教界は真理、というと胡散臭く感じる方もおられるだろうが、老荘思想やアニミズムが今でも薄く広く長く生き続けているように、キリスト教界も不変の理を内包している一つだ。これは宗教の類においてキリスト教界が唯一真実であると述べているのではなくて、時代柄を問わずどのような宗教や学問の賢者や名匠、ただの一庶民などの話や書籍においても人間とはどういうものか、どうあるべきかといった道徳、理想像の類似した結論が顕れる。一であり太初であり絶対である神=真理であり、もう少しかみ砕くと下位概念としては集合無意識や(おそらく)幾何学あたりとなる。
道徳からみた宗教の一側面
この真理の象1は科学面から思考する経路、未知を愛し愛知と成す行為からの哲学といった直線が描かれ、宗教面からは「考えるのではなく感じること」に重きをおいた調和的経路である円が描かれる。人間は左脳と右脳によって役割分担を程よくしているとおり、左右の横軸といった平等や公平、十人十色や多神教、男女夫婦など左右を内包する存在の概念がある。調和なくして心は生ぜず、思考なくして人は人足りえぬように左右あっての人間である。
この真理、普遍的事実について私が言語化容易な一面は道徳である。多くの宗教において神は父性であり、聖書とはキリスト教において父が子にモノの見方や道徳を物語として説くものであり、陰といった静的なものの按配をとるものである。この道徳は広く他の道徳家、思想家においても共通していることで、どちらが後か先かはともかく、老子や陰陽二元論、神話、民間伝承、武道、儒教、仏教、神道でも同じである。父にたいして上下対義語は”子”である。父から見れば、子は生まれたばかりで生への希求から何事も取り組み吸収しようとする。父も元は子であった時期があるから父であり、父性は冒険や挑戦の体験者であるから経験が豊富である。
侍であれば武士道、武士の道における徳を修めて民草に道徳の手本となるよう求められ、肉体的修練や書物による勉学といったウチとソト2、陰と陽の二面を以て、男性性一辺倒ではなく按配よく併せ持つことが求められた。仮に男性性一辺倒であれば冒険や革新、好奇心、狩猟に傾倒して遊牧民族のように根を張らない。武道を習ってもそれを抑制することができず妖刀”村正”のように力試しに興じてしまう。私は武道家の端くれだが武道にはそれぞれ道訓があり、力を得てもそれを制する者であるよう自戒自制が求められる。これは力を持てる者の義務であり、この義務は道訓という道徳によって都度気持ちを改めるものであるから、道訓も父性といえる。
端的には禁止事項にたいしてこのような理由がある、ということを読み・書き・発声・体現により形而上や心象のうちに形象を創り上げ、概念を獲得し陰陽の天秤を保つことに重きを置いている。日本神話の天岩戸からは人と人の対人関係とでもいうのか、社会の心理的側面がみられる。天照大御神がお隠れになり引きこもっていると、外では何やら大いに音や愉しそうな声がする。気になって顔を出してみると祭りをしており外に出ることになった、というのは対人関係技術の基本で、賑やかさハレ、祭といった愉しいものは皆好き嫌いでいえば好きである。心を病んだ友人にたいして差し伸べる手で一番有効なのはこの例にあるとおり、愉しさへ誘うことにあるし、おなかが空いている者にはご飯に連れ出すことにより蟠りは解消される。
哲学と宗教(呪術)の陰陽

上図はまだ煮詰める余地がおおいにあるが書籍化といった再考する折に再定義しようとおもう。宗教は呪術体系であり、個の呪術と異なり集合体としての力を有する。
哲学:哲学は明るきを欲することから真理の象は必要であり、そのために思考が必要であり言語化が必要である。不思議への好奇心、冒険心によって支えられていることから心理学面では男性像であり、生物学的弱者である男性であるから生の渇望や概念の獲得といった自我形成をすることに性向がある。これは物質的虚弱性により生じる。哲学的進歩を図るなら女性性に倣い、常に自らをも懐疑的にみることのできる観測者の性質も併せ持たねばならず、その性質から多角度的解釈が可能となるほどの経験の総体が求められる。意志決定者である村長や政治家に男性が多いのは以上のことにより、男性性を基にして女性性を巧く取り込んだ者がその位置につく。
- 宗教:宗教は暗きを欲することから真理の象は神という存在を除いて不要であり、偶像といった形象は個々人の観念が異なることから解釈が人の数だけ増えてしまう。広義においては言葉ですら誤解を与えてしまう形象をもつことから狭義において不要であり、在るだけで解り合えるように非言語的コミュニケーションでよい。つまり言葉にせずともわかることから完成されているが故に、他者による影響は不要であるから保守であり、心理学面からは女性像となり、生物的強者である女性であるから死の渇望(理解)や概念の放棄といった超越自我形成をすることに性向がある。精神面で女性性の高いものほど哀れみや優しさ、調和性、勘が鋭いことや霊感があることはこの道理である。また、徳川綱吉による”生類憐みの令”はこちらに属する。

- 統合:日本語に”全身全霊”という言葉があるように、または少々意味が異なるが身体と心魂があるように人は肉体と霊体が存在する。自我と超越自我の両概念を獲得することにより解釈が可能であり、哲学者や心理学者(たいてい男性である)なども”超自我”、”自我超越”、”超越自我”といった名称でその存在について言明している。この例にはフロイトやユングといった心理学者、ほか神智学者がいるが、人智学のルドルフ・シュタイナーも同様で、彼は男性であり西洋人であり哲学者であるから、どちらかと言えば陰陽の陽に属しておりバランスを保つために思考の対には瞑想が必要となる。彼がインド以東の瞑想を取り入れ、哲学のうちに宗教性を吸収とでもいうのか、陰を取り込んだことにより直観力に磨きがかかり調和がとれていることから思考が群を抜き、陰である調和がそれを支えている。アニメ”転スラ”であれば内なる思考者である大賢者がいて、主人公とのバランスは思考と調和であることから按配がとれている。哲学・宗教両極の按配とそれぞれの経験の総体により合わさった概念が獲得され、存在意義が明らかとなる。科学は両極それぞれから得られた普遍的なものである。陰陽の太極図には白と黒が在り、その二つのうちにも反対面の存在を内包している。例えば思考にのみ特化したとしてもその内に調和を内在しなければ、その反面である調和に特化し思考を内在する者と太極を成すことはできない。男性がわずかでも女性性を有していないと女性のことは理解不能であるように、必ず陰の内にも陽があり、陽の内にも陰がある。人は経験したことをその質量に応じてのみ表現することが可能であるから、両極を経験しなければ統合は不可能である。
陰陽二元論については後日記す。
輸血拒否事例

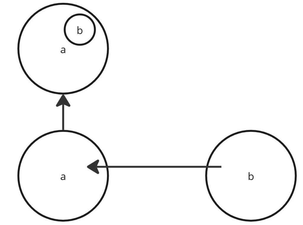
話を”エホバの証人”に戻して輸血拒否事例を考察するに、背景には哲学的に読み解けば心理学でいうところの自己同一性の喪失とでもいうのか、aに対してbが臓器移植や輸血を行った場合、”aはaのままであるか”という、その問いに対する”エホバの証人”の見解があり、簡潔な解答としては”aはbを内包することによりa(b)となる”と解釈しているように見受ける。私も同意するが、実際に移植輸血行為が行われた者は一時的にせよ感覚が狂うことになる。
三年ほど前に手術入院し輸血した私の父においては「手術から2,3日間は感覚や考え方がなにか普段の自分と違い、見ることのないような夢をみた」と話していた。小説で似たような話題を取り上げているものには東野圭吾『変身』が適中だろう。また、類似例を挙げると超心理学のサイコメトリー、心理学においてはミラーリングであったり、名称を忘れたが対象に同化するためにその日常を自らもその空間で再現し、どう感じてどう考えているかを精神面から追体験する手法がある。aとbは共有体験から仲良くなることが可能となるように、共有や共通といった接触効果によってaはa'(b)となりbにおいても同じである。これが共有の段階を経ずに組み入れようとするとアレルギーのように免疫が作用し火の属性である熱の気(エネルギー)が発生する。
アレルギーは物質との相性により生じるものもあるが、非物質的に作用する一面もある。例えば物理的距離は心理的距離の顕れであるといわれるように、見ず知らずの人が理由なく近ければ少し距離を保ちたいと思うことや、引っ越してきた隣人が真逆の性質、夜行性で騒音が酷いとするとその不快感は肉体の感覚器をとおして精神に至りたいへん疲弊する。知覚増加による間接的接触を経て精神面・物理面から異物の排除を試みる。
つまり私の知覚領域内に私ではないものがあれば異質と見做し、異質の質量が自我を保つ閾値を超えた際はa(b)となる。アニミズム的に考えてみると、万物に魂が宿ることから普段と異なるものを取り込むだけでも適宜選別しなければ、元の性質が変化してしまい良くも悪くも困る結果が生じることになる。物質・非物質は存在の内包であるから、人であるbを構成する血や臓器といった物質存在の欠片を取り込むともなると、人であるから物質だけではなく精神や魂、思念といったものの融合処理に追い付かないこととなる。誰かが過去に着用した古着であったり中古住宅などは物質面だけでなく物に付随する非物質も内包した存在なので、昔の日本人は物を長く大事にして譲るのであれば身近な者へ継承してゆくように、ウチとソトの分別は根強かった。
取り込むことに対して肯定的に考えてみると、類は友を呼ぶとか引き寄せの法則といったある種の磁力、縁があるように、夫婦で一緒に居続けると思考や行動などが他者からみて似た者同士となってゆく。同じ釜の飯を食う仲間であることにより共同による経験の総体から類似性が生まれるように、近親者や同じ社会集団といった総合的な同属性があれば快・不快であれば快であり、共有性が高いことから自他の相違による反発といった免疫作用はまだ抑えられ、aがbを非物質面から取り込み過ぎることによる変態はまだ間逃れるだろう。
高等教育否定
本来教育とは人格の陶冶であるが、教育を受けるほど知識は増すものである。宗教においては父なる神が一つの道を言葉にすることによってわかりやすく指し示し、困っている人に手を差し伸べる慈愛である。学校教育においては科学が道を示し、無知を克服しようと自ら問い学び考える独自の哲学へと導く。会社においても社長や法人理念が道を指し示し、その元に発展を試みる。教育を授かるとは相対的に無力な自己を鍛錬することにあり、その手本を習うことにあり、その意味において宗教も教育も同じである。
属する社会において相対的に、その社会内の知力的乖離が広がることによって致命的な上下関係が生じてしまうことから義務教育は小学校までとなり、中学校までとなり、高校までとなった。
雑記 漢字分解による共通性
漢字における”宗教”を一語一語分解してみると、”宗”と”教”に分かれる。語順としては宗の教えであり境を設けて示し教えること、または漢文古典を読むようにレ点を加えて順を変えてみるならば、教えに境を設けて示すこととなる。
宗 宀+示
宀(べん・ウ冠)
類:字・宇・宙・窓・安・守・宅・寝・寵・宿・密・宣・客・室・実・寅
旧字を遡ってみると何もないところに境域や境界といった境を創設してウチとソトを隔て、ウチに示を内在することで、ウチから外へ示したり自律といったウチへ示すことである。
示
示またはネ (示す偏)
類:票・祭・察・禁・祟・礼・社・祈・祷・福・祝・禅・裸・禄・䄥
存在するだけで在るという示しがそもそもあるが、わかりやすくするためには表に示し出さねばならない。
参考になるもの
アニメで分かる漢字の成り立ち (morinogakko.com)
第4回 自然に宿る神(2) | 親子で学ぼう!漢字の成り立ち (japanknowledge.com)
宗の漢字・意味に隠された魅力と可能性とは | 今から出来る名前の意味付け 名前・漢字の隠れた魅力 (ameblo.jp)
古代漢字研究 ―漢数字の起源― (umin.ac.jp)
「祭」という漢字の右上の部分は、「又」なのですか?|漢字文化資料館 (kanjibunka.com)
あとがき
超越自我とハイヤーセルフは類似の語であることは解っており、国内のブログ投稿サイト(ブログというより言葉どおりのインターネット公開されるノートというべきか)である”note”や日本語のインターネットブラウザ検索においてふわっとどんなものか分かっていたが、試しにハイヤーセルフについてインターネットブラウザ検索してみると、日本国内外で情報が全く異なることになった。日本人の民族精神が時代の変遷として明治から昭和あたりで、”村八分”や”前に倣う”といった集団帰属意識へ、脅威への対処として、より傾倒し持続しているようで、物質主義的視方が大勢を占めている。有・無・有無の間又は不定の三択が用いられる統計ではたいてい当てはまる割合ではないかとおもうが、25%の人は霊性を肯定し、50%の人は不定、25%の人は霊性を否定する。これはファンタジア・アファンタジアといった想像性の有無研究結果と等しい。寝屋川図書館においては心理学と超心理学の隔てが取り除かれたが日本人にはまだ隔たりがあるのだろう。
5/31 筆
6/08 加筆
6/22 加筆
参考になるもの
宗教考について
- 【書評】伊藤耕一郎著『スピリチュアルのリアル 精神世界再考』 : 書籍 : クリスチャントゥデイ (christiantoday.co.jp)
- 「伊藤耕一郎」の検索結果 | NDLサーチ | 国立国会図書館
- 口語訳聖書 – 創世記 (salterrae.net)
- 口語訳聖書 – マタイによる福音書 (salterrae.net)
- 岩戸伝説|戸隠の歴史|戸隠神社について|戸隠神社 (togakushi-jinja.jp)
ウチとソトについて
- 鈴木 梓, 情報の共有と日本語~日本語の「自己」は言語にどう現れるか~ (nagoya-u.ac.jp) pdf
- 日本人の日常表現から見る日本の「ウチ」と「ソト」の文化从日本人的日常表现看日本的“内外”文化毕业论文日语毕业论文 (zangguijing.com)
ファンタジア・アファンタジア
脚注をつけた翻訳は日本国外の方にわかるように、https://www.deepl.com/を用いて下記に示す。




